Avrupalı gökbilimciler, Dünya’dan yaklaşık 500 ışık yılı uzaklıktaki TOI-1422 yıldız sisteminde ikinci bir dış gezegenin keşfedildiğini açıkladı. TOI-1422c adı verilen bu yeni gezegen, hem boyutları hem de kütlesiyle araştırmacıların ilgisini çekiyor.
YENİ DIŞ GEZEGEN KEŞFİ
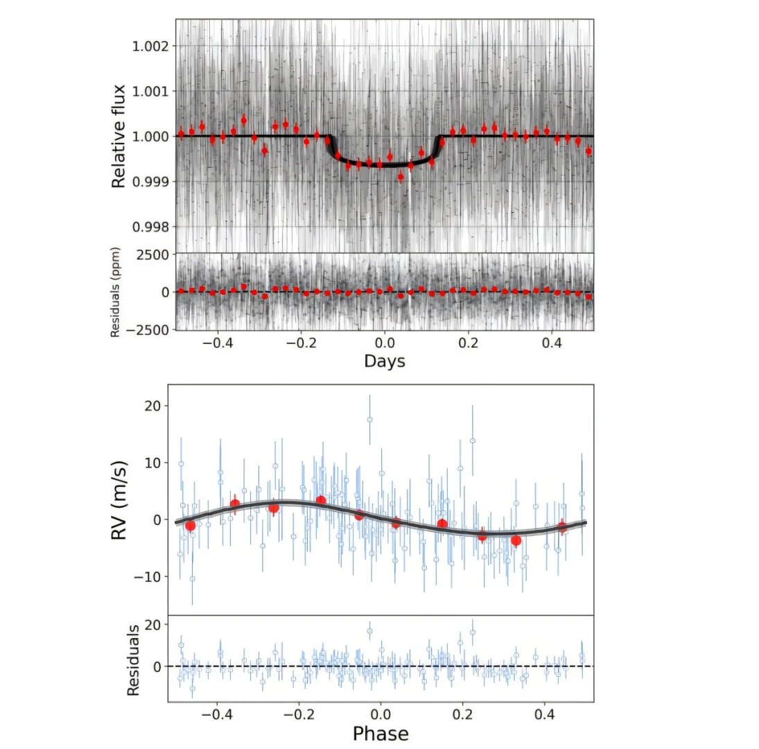
TOI-1422, 4,6 milyar yaşında, Güneş’e benzer özellikler taşıyan bir yıldız. Sistem, daha önce sıcak Neptün büyüklüğünde bir gezegen olan TOI-1422b ile biliniyordu. Son analizler, yaklaşık 34,5 günlük yörünge periyoduna sahip ikinci bir gezegenin varlığını doğruladı.
KÜTLE-TERSİNE YAPILANMA
Yeni doğrulanan TOI-1422c, yıldızdan yaklaşık 0,2 astronomik birim uzaklıkta bulunuyor. Yaklaşık 2,61 Dünya yarıçapında ve 14 katı kütlede olan gezegen, 628 Kelvin’lik bir denge sıcaklığına sahip. Araştırmacılar, bu gezegeni Neptün altı sınıfına dahil etti.

YAPISAL FARKLILIKLAR
Araştırmada dikkat çeken en önemli bulgu, TOI-1422 sistemindeki gezegenlerin sıra dışı kütle ve yoğunluk düzeni oldu. Dış gezegen TOI-1422c, iç gezegen TOI-1422b’den daha büyük kütleye sahip olmasına rağmen, ondan daha küçük bir yarıçapa sahip. Bu tür “kütle/yoğunluk-tersine” mimariler gezegen sistemlerinde ender rastlanan bir yapı olarak tanımlanıyor.
GÖZLEMLER VE İLERİ ARAŞTIRMA
Bilim insanları, TOI-1422b’de gözlemlenen geçiş zamanı değişimlerinin (TTV) muhtemelen sistemdeki görünmeyen başka bir gezegenden kaynaklanabileceğine dikkat çekti. Bu hipotezin doğrulanması için daha fazla gözleme ve hassas veri analizine ihtiyaç olduğu belirtildi.
